首页 | 信息公开制度 | 信息公开指南 | 信息公开清单 | 信息公开专栏 | 信息公开申请 | 信息公开年报 | 学院主站 
 
内容显示
当前位置: 首页>>信息公开专栏>>招生信息>>招生咨询及申诉>>正文


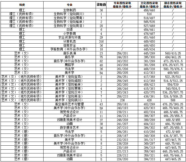
渭南师范学院2024年分省分专业录取最高最低分(陕西部分)
2024-10-08 10:20   审核人:




关闭窗口
  • 渭南师范学院信息公开办公室  电话:0913-2133039

  • 学校地址:陕西省渭南市朝阳大街中段    邮编:714099